>
累积式土壤氡析出率检测是环境辐射安全评估、民用建筑工程选址及地质勘查中的关键技术,主要用于评价土壤中放射性气体氡(²²²Rn)向地表释放的长期平均强度。与瞬时测量不同,累积法能有效消除氡浓度日变化、气象波动等干扰,提供更稳定、可靠的年均析出率数据。
主流累积式检测方法
1. 活性炭盒法(Activated Carbon Canister)
原理:
活性炭吸附土壤释放的氡,经γ谱仪测¹³¹I(氡子体²¹⁴Pb/²¹⁴Bi衰变)活度。
操作:
将装有活性炭的敞口盒倒扣于土壤表面(或埋入浅层)
密封边缘(防大气氡干扰),暴露 2–7 天
取回,用 高纯锗γ谱仪(HPGe)测 295 keV(²¹⁴Pb)、352 keV(²¹⁴Bi)峰
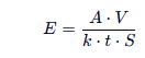
计算:

A :氡子体活度(Bq)
V :盒内体积(m³)
k :校准因子(与温度、湿度相关)
t :暴露时间(s)
S :盒底面积(m²)
优点:灵敏度高、操作简便
缺点:受温湿度影响大,需校正;仅适用于短期累积(<1周)
2. 固体径迹探测器法(SSNTD, 如 CR-39、LR-115)
原理:
氡衰变释放的α粒子在塑料探测器上形成潜径迹,化学蚀刻后显微计数。
操作:
将 CR-39 片置于底部带滤膜的圆柱形容器中(防尘防子体进入)
倒扣于土壤表面,暴露 30–90 天
取回,NaOH 溶液蚀刻(6N, 70°C, 6–8 h)
光学显微镜或自动扫描仪计数径迹密度(tracks/cm²)
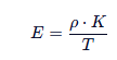
计算:

ρ :径迹密度(tracks/cm²)
K :探测器灵敏度(tracks·cm⁻²·Bq⁻¹·m³·h)
T :暴露时间(h)
优点:
无源、无需供电
长期稳定性好(可测年均值)
抗电磁干扰
缺点:结果滞后(需蚀刻计数),不能实时读数
3. 累积电离室法(如 AlphaGUARD PQ 2000 配累积模式)
原理:
被动式脉冲电离室累积α电离电荷,实验室读取总剂量。
适用:高精度科研或仲裁测量,成本较高。
来源:网络
北京办事处:北京市海淀区中关村善缘街1号立方庭大厦2段925室
上海办事处:上海市闵行区申长路668号冠捷科技大厦2楼A12
武汉办事处:湖北省武汉市洪山区珞瑜路78号长江传媒大厦2003室
西安办事处:陕西省西安市雁塔区高新区科技路海星城市广场B座2003室
广州办事处:广东省广州市天河区天河北路725号东方之珠G座2107室
E-Mail:hhtic@hhtic.com
公司地址:河南省郑州市中原区西四环企业公园33号楼
客服咨询